Product Center

首页 > 产品中心 > 压滤机系列 >
首页 > 产品中心 > 压滤机系列 > 厢式压滤机

厢式压滤机

luck18官网位于北京市丰台区南四环诺德中心,注册资金1000万元。公司在河南有建设基地202亩,厂房面积70000㎡,投资1.5亿元,是集生产、制造、科研、销售、国际贸易为一体的综合性科技型企业。
公司的产品有板框式压滤机、隔膜式压滤机、厢式压滤机、带式压榨过滤机、铸铁压滤机、不锈钢过滤器等产品。产品广泛应用于环保、矿业、冶金、医药、石油、化工、煤炭、食品等领域。

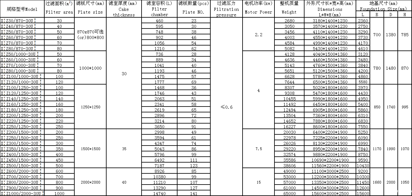
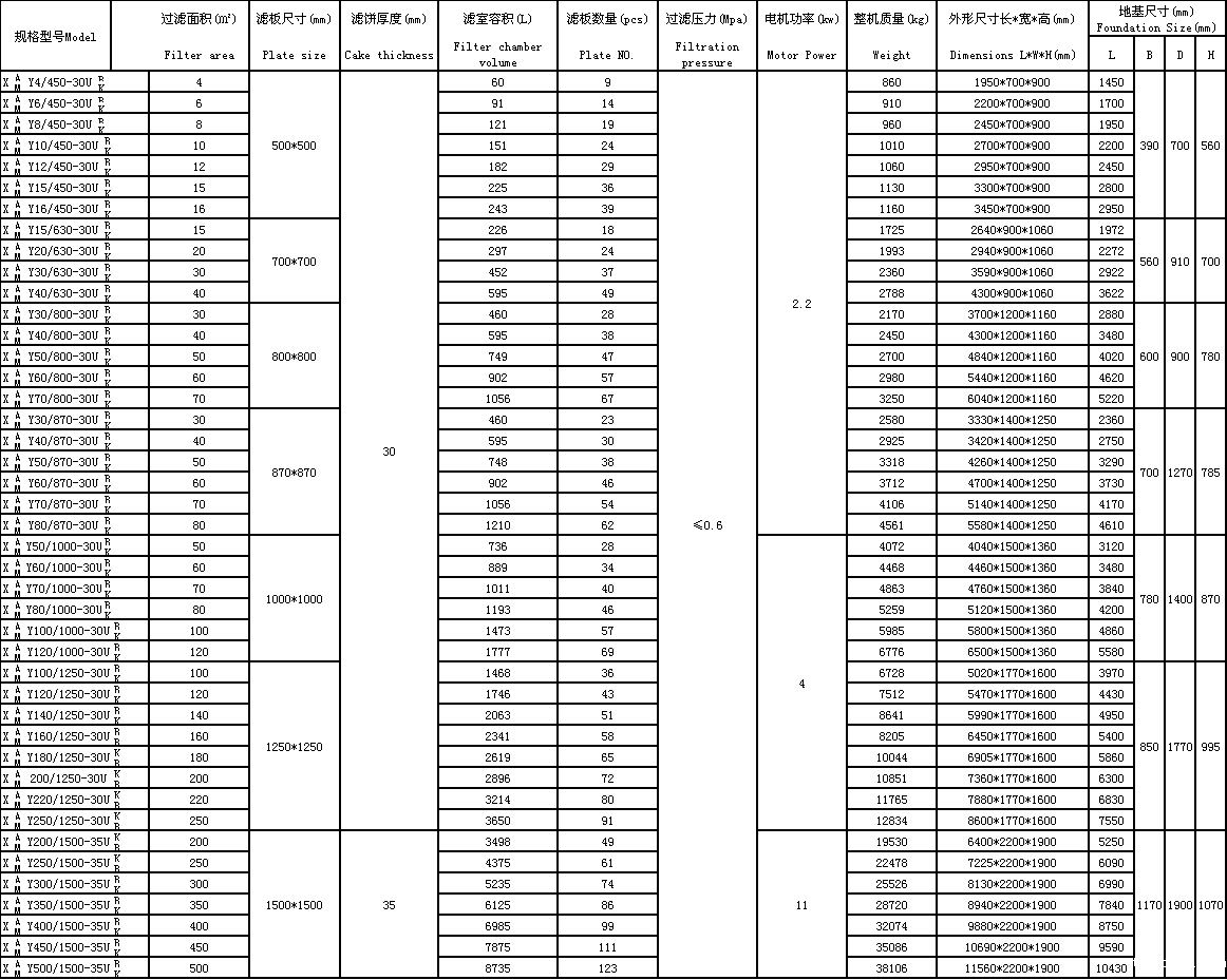
技术参数

1.png

厢式液压压滤机参数

2.png

厢式自动压滤机


产品详情

自动拉板厢式压滤机,可以采用微电脑控制器、PLC、触摸屏控制能对压滤机进行各项操作(如滤板压紧、集液板合并与开启、松开滤板、拉开滤板,水冲洗等),并留有远程控制接口,能远程自动操作控制。

高效节能压滤机是在自动拉板压滤机基础上增加更换了机械手,加长了油缸,增加了区间,一次拉开多块滤板卸料。

适用于易脱水,高频率工作行业的物料,显著特点,结构紧凑、性能稳定、效率高运行费用低等。

拉板效率提高3-6倍,对于滤板数量较多,工作频率较高的设备,有显著优越性。


上一篇 : 隔膜压滤机 下一篇 : 板框压滤机

首页

新利luck18官网客服

产品中心

电话咨询

Baidu
map